Experiment Results

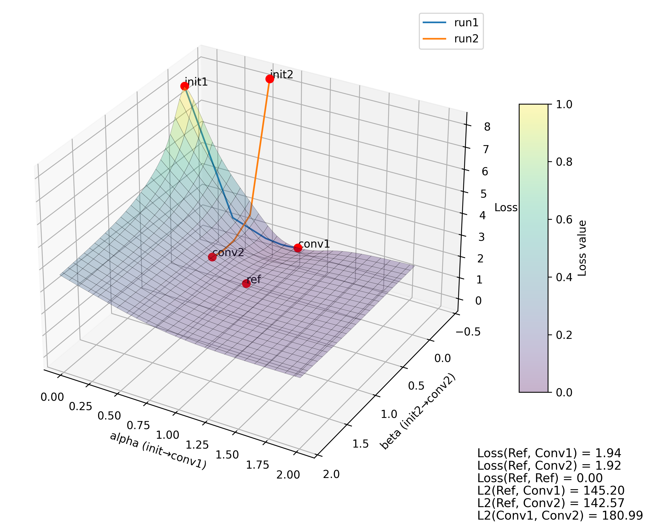
Metric Loss Landscape Hessian 1D Curve Loss 1D Curve Init Image Seed 17 Final Image Seed 17 Init Image Seed 47 Final Image Seed 47
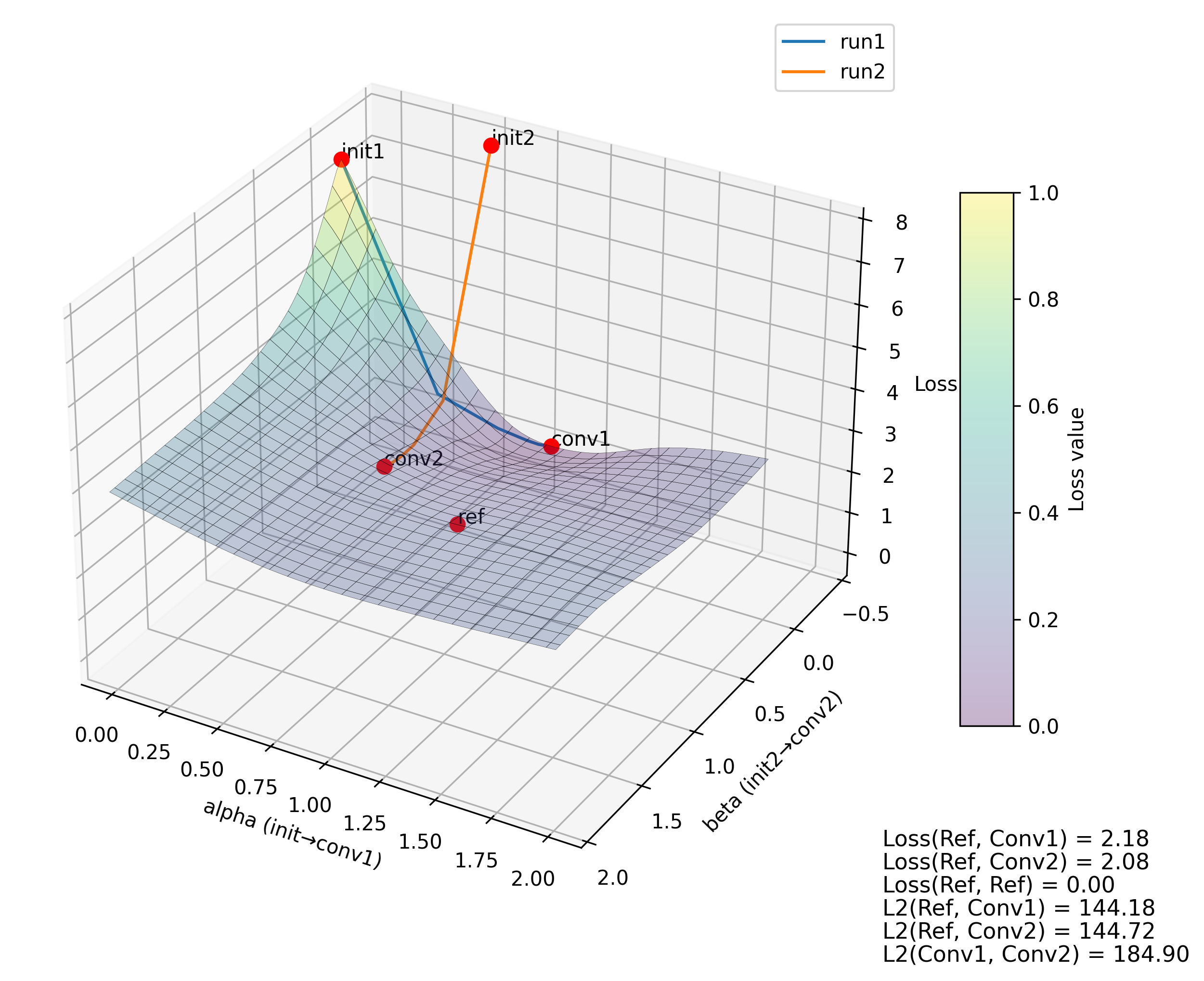
cvvdp Loss Landscape Hessian 1D Curve Loss 1D Curve Init Image Seed 17 Final Image Seed 17 Init Image Seed 47 Final Image Seed 47
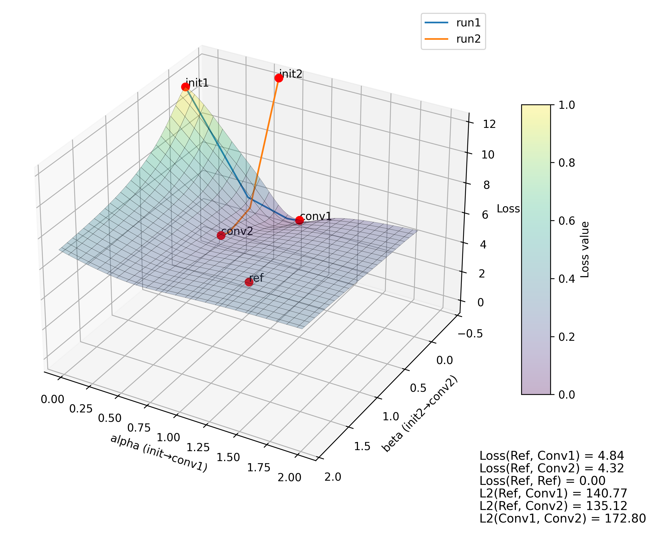
cvvdp_log_contrast Loss Landscape Hessian 1D Curve Loss 1D Curve Init Image Seed 17 Final Image Seed 17 Init Image Seed 47 Final Image Seed 47
cvvdp_no_Bloch Loss Landscape Hessian 1D Curve Loss 1D Curve Init Image Seed 17 Final Image Seed 17 Init Image Seed 47 Final Image Seed 47
cvvdp_no_color Loss Landscape Hessian 1D Curve Loss 1D Curve Init Image Seed 17 Final Image Seed 17 Init Image Seed 47 Final Image Seed 47
cvvdp_no_csf Loss Landscape Hessian 1D Curve Loss 1D Curve Init Image Seed 17 Final Image Seed 17 Init Image Seed 47 Final Image Seed 47
cvvdp_no_masking Loss Landscape Hessian 1D Curve Loss 1D Curve Init Image Seed 17 Final Image Seed 17 Init Image Seed 47 Final Image Seed 47
cvvdp_no_xcm Loss Landscape Hessian 1D Curve Loss 1D Curve Init Image Seed 17 Final Image Seed 17 Init Image Seed 47 Final Image Seed 47
l1 Loss Landscape Hessian 1D Curve Loss 1D Curve Init Image Seed 17 Final Image Seed 17 Init Image Seed 47 Final Image Seed 47
l2 Loss Landscape Hessian 1D Curve Loss 1D Curve Init Image Seed 17 Final Image Seed 17 Init Image Seed 47 Final Image Seed 47
lpips Loss Landscape Hessian 1D Curve Loss 1D Curve Init Image Seed 17 Final Image Seed 17 Init Image Seed 47 Final Image Seed 47
lpips_cosine Loss Landscape Hessian 1D Curve Loss 1D Curve Init Image Seed 17 Final Image Seed 17 Init Image Seed 47 Final Image Seed 47
msssim Loss Landscape Hessian 1D Curve Loss 1D Curve Init Image Seed 17 Final Image Seed 17 Init Image Seed 47 Final Image Seed 47
ssim Loss Landscape Hessian 1D Curve Loss 1D Curve Init Image Seed 17 Final Image Seed 17 Init Image Seed 47 Final Image Seed 47